1 كيلو متر كم يساوي الميل؟ اكتشف الإجابة الدقيقة

الفرق بين الكيلومتر والميل
حسنًا، إذا كنت مثل الكثير من الناس، فربما تجد نفسك أحيانًا في موقف تحتاج فيه إلى تحويل الوحدات بين الكيلومتر والميل. هذا أمر شائع جدًا، سواء كنت تسافر عبر الإنترنت، أو تخطط للذهاب إلى دولة تستخدم وحدات قياس مختلفة. الحقيقة هي أن الكيلومتر والميل هما وحدات قياس المسافة، ولكن كل منهما ينتمي إلى نظام قياس مختلف.
والحقيقة هي أنني، شخصيًا، كنت دائمًا أخلط بينهما حتى بدأت أبحث عن الفروق الدقيقة بينهما. إذا كنت تتساءل، "كم يساوي الميل في الكيلومترات؟" فإن الإجابة بسيطة، لكنها قد تكون مربكة إذا لم تكن معتادًا على هذه التحويلات. دعني أشرح لك.
كم يساوي الميل بالكيلومترات؟
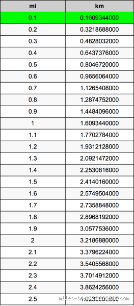
الإجابة السريعة: 1 ميل = 1.60934 كيلومتر
إذا كنت تبحث عن إجابة سريعة ودقيقة، فإليك الجواب: 1 ميل يساوي 1.60934 كيلومتر. أعتقد أنه سيكون من المفيد أن تضع هذا الرقم في ذاكرتك خاصة إذا كنت مسافرًا أو تتعامل مع مسافات بين البلدان التي تستخدم وحدات قياس مختلفة.
في الواقع، كنت دائمًا أجد صعوبة في تحويل الميل إلى كيلومتر بسرعة. أذكر مرة كنت أقرأ رحلة بين مدينتين في أمريكا وكان المسافرون يتحدثون عن المسافة بالأميال. لم أكن متأكدًا من المسافة بالضبط، لذا قمت بحسابها وأكتشف أن المسافة كانت تقريبًا 100 ميل، مما يعني حوالي 160 كيلومترًا. استغرقت بضع ثوانٍ، لكن كان هذا التحويل مفيدًا جدًا.
كيف يتم التحويل؟
الطريقة بسيطة جدًا إذا كنت تحتاج إلى تحويل الأميال إلى كيلومترات أو العكس. يمكنك استخدام المعادلة البسيطة التالية:
الميل × 1.60934 = الكيلومترات.
على سبيل المثال، إذا كنت تحتاج إلى تحويل 5 أميال إلى كيلومترات:
5 × 1.60934 = 8.0467 كيلومتر.
لا تقلق، هذه المعادلة بسيطة وستساعدك في إجراء التحويلات بسرعة.
لماذا هذا التحويل مهم؟
أثناء السفر: تباين في وحدات القياس
عندما كنت أسافر إلى بعض البلدان التي تستخدم نظام الأميال بدلاً من الكيلومترات، كنت دائمًا أضطر إلى التوقف لحساب المسافة. أذكر أثناء زيارتي لبريطانيا، حيث كانت كل المسافات تُقاس بالأميال، وكان الأمر محيرًا. في بعض الأحيان، كانت النشرات الجوية تتحدث عن المسافة بالأميال، وكان عليّ تحويلها إلى كيلومترات في عقلي.
لن أكذب، أحيانًا كنت أشعر أن المسافات كانت أطول مما هي عليه. لكن مع الوقت، أصبح التحويل أسهل، خاصة بعد أن قمت بحفظ معادلة الميل إلى الكيلومتر.
الرياضة والمشي: حساب المسافات بسهولة
إذا كنت من محبي المشي أو الجري، فربما تحتاج أيضًا إلى حساب المسافات خلال تمارينك. على سبيل المثال، عندما تجد مسافة الجري بالكيلومترات، ربما ترغب في معرفة كم ذلك بالأميال. لذا، إليك المعادلة التي ستساعدك على احتساب المسافة بالميل:
الكيلومتر ÷ 1.60934 = الميل.
إذا كنت جريت على مسافة 10 كيلومترات، فإنك تجري تقريبًا 6.2 ميل. أعتقد أنه أمر مفيد إذا كنت تتدرب على الجري وتريد متابعة تقدمك.
كيفية التعامل مع اختلافات الوحدات في البلدان
لماذا تستخدم بعض البلدان الأميال بدلاً من الكيلومترات؟
حسنًا، في العديد من البلدان، مثل الولايات المتحدة والمملكة المتحدة، لا تزال الأميال هي وحدة القياس الأساسية للمسافات الطويلة. بينما في معظم دول العالم، بما في ذلك معظم دول أوروبا، يستخدم الكيلومتر. هذه الاختلافات في القياس يمكن أن تجعل الأمور مربكة، خاصة عند السفر أو استخدام الخرائط.
كنت في حديث مؤخرًا مع صديقي أحمد عن هذه الاختلافات الثقافية في القياس. كان يسافر إلى أمريكا ويقول إنه دائمًا ما يواجه صعوبة في فهم المسافات بالأميال، خاصة عندما يتعلق الأمر بالطريق بين المدن.
الخلاصة: ما الذي يجب تذكره؟
إذا كنت تتساءل عن كيفية تحويل الأميال إلى كيلومترات أو العكس، تذكر ببساطة:
1 ميل = 1.60934 كيلومتر.
1 كيلومتر = 0.621371 ميل.
ستساعدك هذه المعادلات في حساب المسافات بسهولة سواء كنت في عطلة أو تمارس الرياضة. وعند السفر، تأكد من أن لديك الأدوات اللازمة لتحويل الوحدات بسرعة.
وبصراحة، مع مرور الوقت والممارسة، ستصبح هذه التحويلات جزءًا من روتينك اليومي ولن تشعر بأن الأمر معقد بعد الآن.
ماذا يشعر الانسان عند فقدان الوعي؟
فقدان الوعي هو المسمى الذي يطلق على الحالة التي يصبح فيها الشخص عاجزاً عن الاستجابة للمؤثرات الخارجية، كمحاولة هزه أو تعريضه للأصوات العالية، ويبدو الشخص الفاقد للوعي كأنه نائم. تستغرق مدة غياب الوعي ثوانٍ قليلة أحياناً، أو قد تطول الفترة أكثر من ذلك، ثم يستأنف المصاب اليقظة بشكل كامل.
هل يوجد علاج الغيبوبة؟
يتوقف العلاج على سبب الغيبوبة. وقد تقتضي الضرورة كذلك استخدام إجراء أو دواء لتخفيف الضغط على الدماغ بسبب تورمه. يمكن لمُسعفي الطوارئ إعطاء الغلوكوز أو المضادات الحيوية عبر أحد الأوردة في الذراع. ويكون ذلك حتى قبل ظهور نتائج اختبارات الدم، في حالات الانخفاض الشديد في نسبة السكر في الدم أو العَدوى التي تصيب الدماغ.09/03/2023
فقدان الوعي كم يستمر؟
الإغماء (المعروف أيضًا باسم فقدان الوعي) هو فقدان مؤقت ومفاجئ للوعي مع فقدان قوة الجسم، ويعقبه تعافٍ تام في غضون بضع دقائق.
ما هو شكل الاغماء؟
قد تظهر أعراض أو علامات قبل حدوث الإغماء، هذه الأعراض يمكن أن تشمل: الدوار، الغثيان، التعرق، أو الضعف العام. قد يشعر المصاب بالدوخة أو الدوار، قد تخبو الرؤية وتصبح ضبابية، وقد يسمع الصوت بصورة مكتومة وكأنه في نفق أو يشعر بالتنمُّل والتوخُّز في الأطراف. قد يصاحب الإغماء تشنج بسيط ولهذا قد يعتقد البعض أن ما حصل هو نوبة.
الموت الدماغي يحدث بعد انقطاع الاكسجين بكم دقيقة؟
تبدأ خلايا الدماغ فى الموت بعد حوالي 4 دقائق من حرمانها من الأكسجين، ويسمى تلف الدماغ الناجم عن نقص الأكسجين "" تلف الأكسجين"".07/07/2019
هل يجوز فصل جهاز التنفس الصناعي عن الميت دماغيا؟
فلا حرج في نزع هذه الأجهزة منه لأنه في حكم الميت، لأن هذه الأعضاء التي لا تزال تعمل إنما تعمل بفعل الأجهزة المركبة، وقد وافق المجمع الفقهي لرابطة العالم الإسلامي في دورته العاشرة المنعقدة بمكة 1408 هـ وافق على رفع أجهزة الإنعاش، وإيقافها متى تبين بالفحوصات الطبية المؤكدة من قبل المختصين بأن هذا الشخص قد مات دماغيا.
متى يبدا الموت الدماغي؟
الموت السريري هو حالة مؤقتة بها القلب لا ينبض وتتوقف وظائف القلب والتنفس، ولكن انسجة الدماغ لم تمت بعد، ومن لحظة توقف وصول الدم الى الدماغ والاعضاء الحيوية، خلايا الدماغ تبدا في مرحلة الدمار، دمار خلايا الدماغ لا رجعة فيه نظرا لعدم قدرة الخلايا على التجدد وهذه الحاله تسبب تلف في الدماغ او الموت اذا استمر لفترة طويلة
هل يتوقف التنفس عند الاغماء؟
لا يتوقف التنفس عند الإغماء، وتستمر وظائف الجسم الحيوية كما هي، لأن السبب في ذلك الإغماء هو نقص التروية الدموية للدماغ، والتي تعود بعد أن ينام المريض.21/04/2022
هل هناك فرق بين فاقد الوعي والغيبوبة؟
الذُّهولُ stupor هو فقد الاستجابة، بحيث لا يمكن استثارةُ الشخص إلَّا من خلال التحفيز أو التنبيه الجسدي الشديد. الغيبوبة coma هي فقد استجابة الشخص، بحيث لا يمكن استثارته؛ وفيها تبقى عيناه مغلقتين حتَّى عند تنبيهه.
